|
Categoria: Machine Learning
|
|
Publicado em 11 de Julho de 2014
|
Cost Function
Where: - m: number of training sets
- h theta: hipothesis function (see instructions below)
- x: matrix where each columns represents a feature. Each line of the matrix is a training set. Number of lines of this matrix is equal to m.
- y: vector with expected value for each training set. Number of lines of this vector is equal to m.
Notes: - x to the power of (i) means the ith line of matrix m
- y to the power of (i) means the ith element of vector y
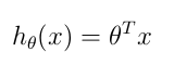
Hipothesis function

Where: - theta is a vector with number of elements equal to number of features
- x: matrix where each columns represents a feature. Each line of the matrix is a training set. Number of lines of this matrix is equal to m
Notes: - theta to the power of T is the transpose of vector theta
- the multiplication above is a matrix multiplication
- the result of this function is a real number
Gradient Descent
Where: - j: value from 1..[number of features]
- theta: is a vector with number of elements equal to number of features
- alpha: learning rate. It is not possible to predict the best value for alpha. You should run the calculus a few times to discover the best value.
- m: number of training sets
- h theta: hipothesis function (see instructions above)
- x: matrix where each columns represents a feature. Each line of the matrix is a training set. Number of lines of this matrix is equal to m.
- y: vector with expected value for each training set. Number of lines of this vector is equal to m.
Notes:
- x to the power of (i) means the ith line of matrix m
- y to the power of (i) means the ith element of vector y
|